lunes, 7 de noviembre de 2011

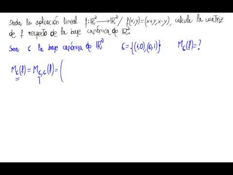
Matriz respecto de la base canónica de una aplicación lineal

No hay comentarios:

Publicar un comentario